Which Franchise Rebuilds are Closest to Completion?
As we approach the offseason, which teams could end their rebuilds and make a surprise appearance in October next season?
The 2024 season has reached the playoffs and in the process, we’ve seen a couple of teams play past their projections to get to play meaningful October baseball. The Kansas City Royals and Detroit Tigers were expected to float around the bottom of the AL Central this season. FanGraphs gave the Royals a mere 13.2% chance of making the postseason before the year began and gave the Tigers a 28.2% chance.
The Royals played outstanding baseball throughout the season and were in contention for a spot in the playoffs throughout the year. The Tigers, on the other hand, were all but dead by the time the trade deadline came around and after selling at the deadline, their playoff hopes plummeted. Despite facing a sub-1% chance to make the playoffs, per FanGraphs, as late as August, the Gritty Tigs put on one of the best stretches of any team in the MLB down the stretch and earned a spot in the postseason.
The Royals and Tigers appear to have completed their rebuilds and no matter the outcome of each of their playoff runs, both organizations will likely look to reload and bolster their lineup for another push in 2025.
That said, there are a number of teams that could be the next to “complete” their rebuilds and make the postseason for the first time in half of a decade. There have been six clubs that haven’t made the postseason since the 2020 COVID season; the Cincinnati Reds, Pittsburgh Pirates, Washington Nationals, Los Angels Angels, and Colorado Rockies.
In this article, I will take a closer look at just how these teams project over the next few seasons to give an idea as to how far along these clubs are in their rebuilds.
Overview of Projections
Most baseball fans are aware of Dan Symborski’s ZiPS Projections model, available via FanGraphs. If this is something you’ve never heard of, I highly recommend checking out the 2024 introduction piece from Dan, here, and the MLB Glossary definitions for ZiPS, here.
The six clubs that we’re analyzing obviously don’t have the most glorious projections, due to a lack of underperforming seasons over the past four seasons. In fact, the highest winning percentage of any of these clubs is 46.91%, courtesy of the Cincinnati Reds.
| 4 Year Standings | WINS | LOSSES | WIN% |
| Cincinnati Reds | 304 | 344 | 46.91% |
| Los Angeles Angels | 286 | 362 | 44.14% |
| Pittsburgh Pirates | 275 | 373 | 42.44% |
| Oakland A’s | 265 | 383 | 40.9% |
| Colorado Rockies | 262 | 385 | 40.49% |
| Washington Nationals | 262 | 386 | 40.43% |
These teams have each had their own unique struggles. Even when the front office pushes the chips forward, like in the cases of the 2021 A’s and 2023 Angels, when each of those clubs bought at the deadline and still failed to make the playoffs. The Rockies signed former NL Rookie and the Year and MVP, Kris Bryant, a couple of years ago. The Pirates made marginal moves at the 2024 trade deadline to bolster their lineup. Even with these efforts of improvement, nothing has seemed to click.
Taking a look at ZiPS, we can get an idea of how these teams project in 2025.

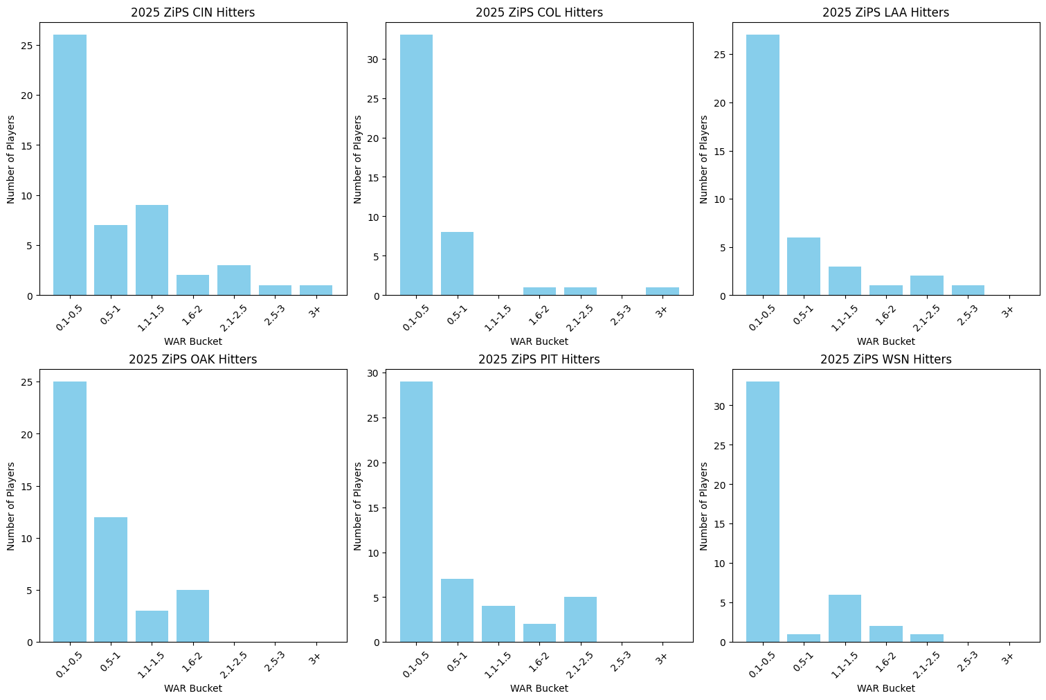
Above are the fWAR buckets that ZiPS has for each of the six clubs’ hitters for 2025.

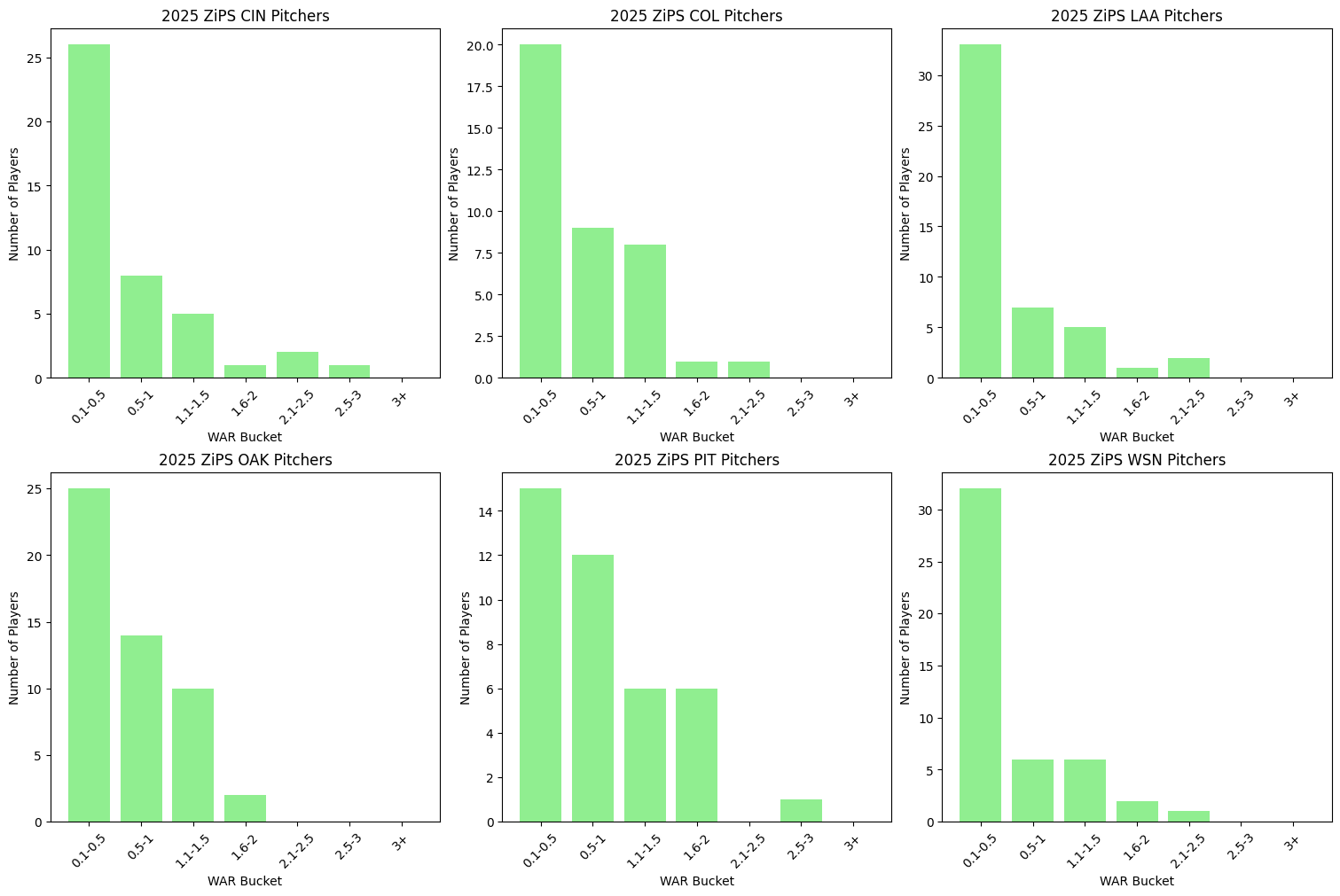
And here are the pitcher projections for each club.
While these visuals aren’t all-encompassing or conclusive, they show us which clubs are projected to have top-end players. For example, the Reds appear to have the best top-end pitchers, with Hunter Greene and Andrew Abbott projected for 2.6 and 2.4 fWAR next season respectively. Though the pitcher with the highest fWAR projections for 2025 is Pirates righty, Mitch Keller, projected for 2.63 fWAR next season.
On the hitter’s side, the Reds’ Matt McLain sits atop the list. McLain missed all of 2024 after suffering a shoulder injury.
It’s important to remember that these projections were run prior to the beginning of 2024, meaning that no 2024 data is included in the making of these projections. It’s unlikely that a player like McClain, who missed the entirety of the season, will have the same bullish projection when Szymborski updates ZiPS ahead of the 2025 season.
To that point as well, the current stat of the 2025 ZiPS projections doesn’t yet consider the breakouts from young breakout starts like Paul Skenes for the Pirates, who led the Bucs in fWAR by posting 4.3 wins above replacement. Lawrence Butler of the A’s is projected to post 0.6 fWAR in 2025, but after a breakout 2024 season that saw the youngster post a 3.2 fWAR, it’s likely that his projections become much more admirable.
On the other side of things, Jack Suwinski is currently the player projected to post the highest fWAR total of any Pirates hitter in 2025. In 2024, he posted -1.1 fWAR in 88 games. Suwinski wound up spending over 40 games in Triple-A after his consistent struggles in the Majors.
2024 Results – Hitting
Taking a look at data that is more concrete, like the results from last season, we can get a more clear idea as to how these teams might fair moving forward.

Here’s how the rebuilding teams faired last season in terms of total fWAR from their hitters.
A’s Hitters
Thanks to a 3+ fWAR season from Butler and JJ Bleday, as well as a 5.1 fWAR season from Brent Rooker, the Athletics comfortably lead the pack. Shea Langeliers‘ overall value was limited due to poor defensive metrics but the backstop had a nuclear season offensively, sending 29 balls out of the park.
The A’s put together a surprisingly solid season as a team at the plate and given the fact that all of the aforementioned players are slated to return in 2025, they could look to recreate another powerful season.
Reds Hitters
Elly De La Cruz had the best season of any single player on any of these six teams but even his 6.4 win season wasn’t enough for the Reds to best the A’s in value offensively.
The Reds offense as a whole just didn’t live up to the standards they set for themselves in the 2023 season. That year, Cincinnati had six hitters post an above-average wRC+ but this season had only three. Players like Jeimer Candelario and Will Benson had very disappointing seasons and while Spencer Steer wasn’t as bad as those two, he was noticeably worse at the plate.
Unsurprisingly, the Nationals and the Rockies brings up the rear. The Rockies have struggled to put together a good offense for the past several years despite playing in one of the most offense-friendly environments in baseball.
Nationals Hitters
The Nationals have exciting youngsters in James Wood and Dylan Crews firmly in their 2025 plans. Wood was an electrifying prospect whose impact was immediately felt with the big league club. Despite logging just 79 games with the Nats, he finished as the fourth best hitter by fWAR for the club. Washington also got strong seasons out of Jacob Young and Luis Garcia Jr. Young was more valuable with the glove than he was at the plate but showed promise with the stick throughout stretches of the 2024 season.
For the Nationals, CJ Abrams will once again be a pivotal part of their team next year. Abrams’ season didn’t end well, after being sent down to Triple-A for being out at casino late into the night. However, after knocking on the door of a 20/20 season in 2023, the young shortstop hit 20 homers and swiped 31 bags in 602 plate appearances this past season.
Rockies Hitters
It was a lost season as a whole for the Rockies, whose 82 wRC+ was better than just one team, the historically terrible 2024 Chicago White Sox.
Nolan Jones failed to recreate his strong 2023 campaign. He spend a good amount of the season sidelined with injuries and when he was on the field, he wasn’t playing all too well. The Rockies best hitter (minimum 200 plate appearances) was catcher Jacob Stallings who posted a 117 wRC+ in 82 games. Stallings was also the only Rockies player to post a wRC+ above 100.
Ezequiel Tovar and Brenton Doyle led the offense in fWAR, each posting 3.7 wins but a majority of their value came from their efforts in the field.
ZiPS expects Nolan Jones to be their best player in 2025. A turn around season from Jones is necessary if this club wants to break out of their running slump at the plate.
Pirates Hitters
The Pirates weren’t much better than the Rockies offensively. After making marginal moves at the deadline this season, they still struggled to construct a lineup that consistently posed any threat to opposing pitchers.
The Bucs got above average seasons from Andrew McCutchen, Bryan Reynolds, Oneil Cruz and Joey Bart, although Bart played just 80 games in ’24. Reynolds and Cruz were both good for 20+ homers.
As previously mentioned, Suwinski’s lost season is an unfortunate step back for the youngster. Ke’Bryan Hayes played in just 96 games this season en route to posting a career-worst 59 wRC+. Hayes has always been a glove over bat player but this season was a monumental disappointment nonetheless.
ZiPS is high on him to improve in 2025 but most of his value will always likely come from the glove. The Pirates are in desperate need of investment in offensive talent.
A positive for Pittsburgh is their pitching staff. They’re young, exciting, and will be the focus of any potential future playoff push for the next several years.
2024 Results – Pitching

The Pirates had the most exciting season from a pitching perspective of any of the teams in this crop. Obviously, the legendary rookie season of Skenes sent waves throughout the mainstream of baseball media, and for good reason. The 22-year-old’s 133 innings of a 1.96 ERA led him to a 4.1 fWAR, ranking tenth among all pitchers in that figure.
Skenes was not the only storyline of 2024 for the Bucs, as fellow rookie Jared Jones got off to a blistering hot start. Jones’ 127 Stuff+ ranked second in baseball among pitchers with at least 100 innings, second to only Nick Pivetta.
Keller didn’t perform to his standard in 2024 but he’s proven to be capable of a 3+ win season in the past. As mentioned, he also sits on top of the ZiPS projections for any single pitcher on any of these teams.
The Pirates’ factory of young arms is showing no signs of slowing down as top prospect, Bubba Chandler seems to be next in line to follow in the footsteps of Jones and Skenes. Chandler pitched his way up to Triple-A where he finished the season. In 39.1 innings, the 22-year-old posted a 1.89 ERA while running a K% just shy of 30%.
While the Bucs’ pitching staff didn’t lead this group of teams in pitcher fWAR, I think this club projects to have the best crop of arms moving forward. The Pirates have done an outstanding job of acquiring talented pitchers out of the draft and developing them into the best they can be.
Reds Pitchers
Greene led the Reds in fWAR with 3.8 wins after posting a 2.75 in 150.1 innings of work. Nick Lodolo gave the Reds 115 innings, pitching to the tune of a 4.76 ERA. He was the third most valuable pitcher by fWAR on the team despite his inflated ERA and lack of total workload. Luckily, his peripheral data suggests that Lodolo should’ve posted on ERA comfortably under 4.0 in 2024. Unlucky batted ball data and a career-low K-rate led to a disappointing season for the lefty who also fought off injuries throughout the year.
The biggest surprise of the 2024 pitching staff for Cincinnati was veteran Nick Martinez. Martinez was the Swiss Army Knife of this team. He appeared in 42 games, and made 16 starts, accumulating 142.1 innings and posting a career-high 3.5 fWAR in the process. Though, unlike Lodolo and Greene, Martinez might not be a part of the future of the Reds. The 34-year-old has a player option for $13 million for the 2025 season.
Abbott put together another solid season, posting a 3.72 ERA across 138 innings. It’s clear that Abbott will be a clear part of this rotation in the future. Abbott’s slider was up there with the best by Stuff+ of any starter in ’24 (125).
Rhett Lowder, the 2023 draftee out of Wake Forrest, made his Major League debut after flying through the minor leagues this year. Lowder impressed with a 1.17 ERA in 30.2 innings and will have every chance to prove that he should be in the 2025 rotation for the whole season.
The Reds and Pirates are in similar situations. Both teams need more from the bats but the future outlook of their pitching staffs is very strong.
Nationals Pitchers
The Nationals had an impressive showing from their arms in 2024, as well. MacKenzie Gore led the way, posting 3.2 fWAR thanks to a career-high in innings (166.1) and a career-best in ERA (3.90). The former Top 100 prospect seems to have settled into the big leagues and will enter the 2025 season as the ace of this rotation.
With just 14.1 career innings in Triple-A, Mitchell Parker was called up to the Major League team and through 151 innings, posted a solid 4.29 ERA and was the second most valuable pitcher on the staff by fWAR. Parker’s expected stats were strong but his lack of overpowering Stuff+ could lead to regression moving forward. DJ Herz was also a pleasant surprise for the Nats. Herz was the piece in return from the Jemier Candelario trade last year. His 4.16 ERA and 88.2 innings of work was about all you could ask for from the young lefty.
The good news for Washington is that Patrick Corbin will be coming off of the books this offseason. In his career with the Nats, Corbin has posted a 5.11 ERA and just 9.4 fWAR in nearly 950 innings. 2025 will also see the return of Josiah Gray and while his career as a big leaguer has not gotten off to the best of starts, this is still a guy who posted a sub-4 ERA as a 25-year-old in 2023.
With Corbin moving into free agency, there will be some relieved pressure in terms of payroll. The Nationals could be in play for some big-time free-agent starters or even surprise the baseball world by trading for a front-line arm to help Gore.
A’s Pitchers
The A’s ranked 26th as a starting rotation by staff fWAR. Although, they were a top 10 bullpen by the same criteria. A large reason behind that was sensational closer, Mason Miller. Miller was outstanding, posting a 14.4 K/9 ratio and a 2.49 ERA.
The A’s best starters were Mitch Spence and JP Sears, worth 1.7 fWAR each. The overall quality of the rotation needs a sizeable amount of work. Unlike the teams mentioned to this point, the A’s have a stronger outlook for their offense than they do with their pitching.
With the relocation of their franchise and the fact that they’ll be playing their home games in a Triple-A park for the next couple of seasons will make free agency harder than it’s been for the A’s. The improvements that they’ll be able to make will either have to be internal options or marginal signings this Winter.
Angels Pitchers
The Angels had the second-to-worst starting rotation by fWAR but did have some intriguing performances. Namely, Tyler Anderson and Jose Soriano. Anderson was on fire to start the season and, all things considered, had a great bounce-back year. The veteran lefty will enter the final year of his three-year contract with the Angels after posting 1.7 fWAR and a 3.81 ERA. Soriano was good for a 3.42 ERA through 113 innings. His high-octane arsenal was hard for hitters to deal with. If he can improve his command, he’ll be a legitimate solid front-end guy for the Halos.
The Angels have some internal options to help bolster the rotation in 2025. They acquired George Klassen and Sam Aldegheri in a trade that sent Carlos Estevez to the Phillies at the trade deadline earlier this season. Caden Dana, their top prospect, also made his debut. Dana may have gotten the call up a bit too early, as through 10.1 innings he posted a 9.58 ERA. Aldegheri was good for a 4.85 ERA through 13 innings.
It’s important to remember that Reid Detmers spent 78 innings in Triple-A this season. After a rough start to his Major League season, the Angles opted to send him down where he posted a 5.54 ERA. In 87.1 big league innings, it was a struggle for Detmers as he posted a 6.70 ERA. It feels unlikely that he’ll continue to struggle this much as a big leaguer. 2024 was simply a lost season for the former first-round draft pick.
Rockies Pitchers
Of the Rockies’ four starting pitchers with at least 100 innings this season, not one posted an ERA below 4.49. Of course, Coors is an incredibly difficult place to be a pitcher but there could be a solution. In the foursome of Ryan Feltner, Austin Gomber, Kyle Freeland, and Cal Quantrill, not a single one had a K/9 above 8.
Matter of fact, Feltner posted a 7.65 K/9 rate, and the other three failed to post a rate above 7. As a starting rotation, Colorado ranked dead last in strikeout rate. Pitching in Coors is hard but pitching to contact in Coors and expecting results is impossible.
The Rockies need to make a concerted effort to seek out arms with swing-and-miss stuff. That is the only way I see this team improving over the long run. Rockies’ top prospect, RHP Chase Dollander, had a successful debut season in professional baseball. Through 118 innings across High-A and Double-A, Dollander posted a K% above 30%.
Prediction
To me, the Reds and Pirates have the best chance to break out of their current playoff slump. Both teams have impressive young cores, especially on the pitching side of things. Both of these teams could use some investment in their lineup but only time will tell if that will happen this offseason.
Another team that could sneak into the playoffs in the near future is the Nationals. As I mentioned earlier, this team could use the money coming off of the books from the Corbin deal to invest in “win now” talent and make a serious push for the NL Wild Card in 2025.
The A’s, Angels, and Rockies fall to the outside looking in. I believe that these teams are further out from a spot in meaningful October baseball for a number of reasons. These teams lack in both offensive and defensive production and their outlooks aren’t nearly as bright as the other three clubs.
